Ответы
Ответ дал:
0
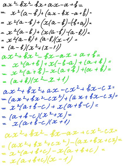
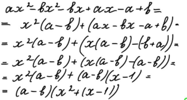
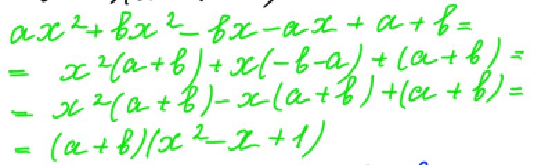
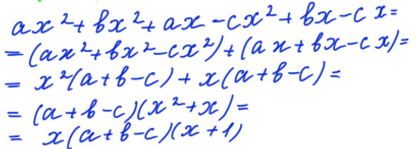
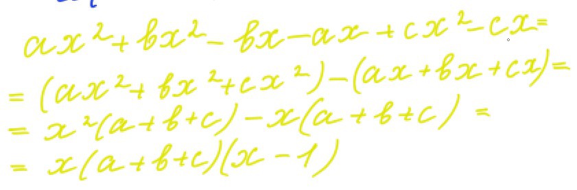
Не за что)) Я по-отдельности скинул и полную картинку.
Приложения:





Ответ дал:
0
спасибо
Вас заинтересует
2 года назад
7 лет назад
9 лет назад
10 лет назад