Ответы
Ответ дал:
0
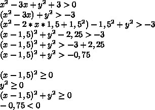
Значит левая часть неравенства всегда больше правой части неравенства. Следовательно, исходное неравенство тоже верно, т.к. мы совершали тождественные преобразования.
Что и требовалось доказать
Что и требовалось доказать
Приложения:

Вас заинтересует
2 года назад
2 года назад
7 лет назад
7 лет назад
9 лет назад
9 лет назад