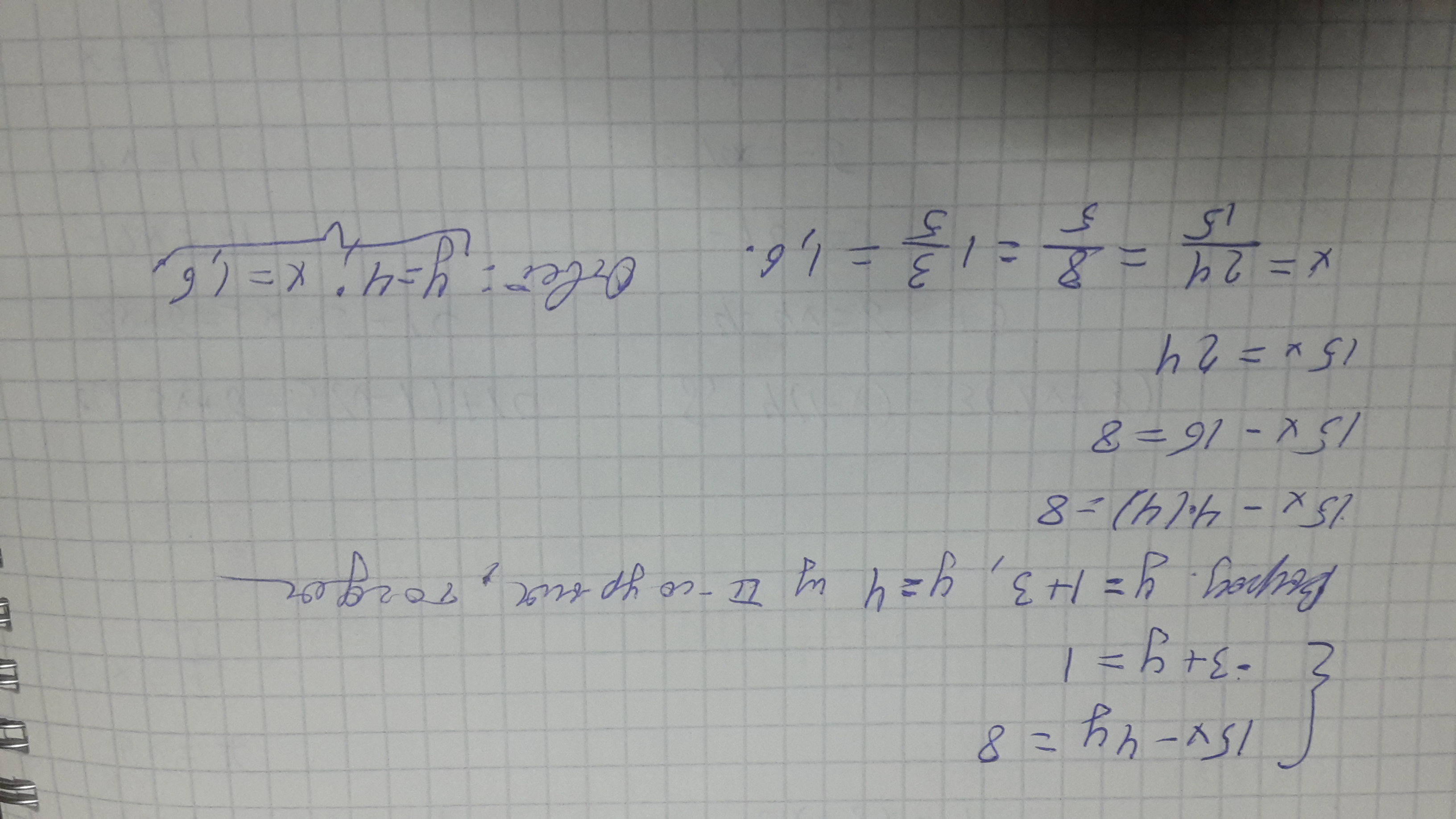
Решить методом подстановки 15x-4y=8 и -3+y=1
с объяснение и только поэтапно
1) Выразим ... из (1,2) уравнения и так далее
Ответы
Ответ дал:
0
держи, что не понятно - спроси) но вроде просто) можешь подставить аргументы - проверить)
Приложения:

Ответ дал:
0
Тупое приложение)
Ответ дал:
0
ага
Ответ дал:
0
Спасибо
Ответ дал:
0
а откуда у равен 4?
Ответ дал:
0
ну, логично что из второго)
Вас заинтересует
2 года назад
7 лет назад
7 лет назад
10 лет назад