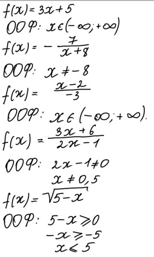
Найти область определения функции:
1) f(x)=3x+5
2) f(x)=-7/x+8
3) f(x)=x-2/-3
4) f(x)=3x+6/2x-1
5) f(x)=√5-x
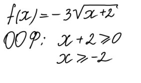
6) f(x)= -3/√x+2
Ответы
Ответ дал:
0
Не за что) Вот, надеюсь, все примеры правильно написал : )
Приложения:


Вас заинтересует
2 года назад
2 года назад
7 лет назад
7 лет назад
9 лет назад
9 лет назад
10 лет назад