• Предмет: Алгебра
  • Автор: RomanBotan
  • Вопрос задан 11 лет назад

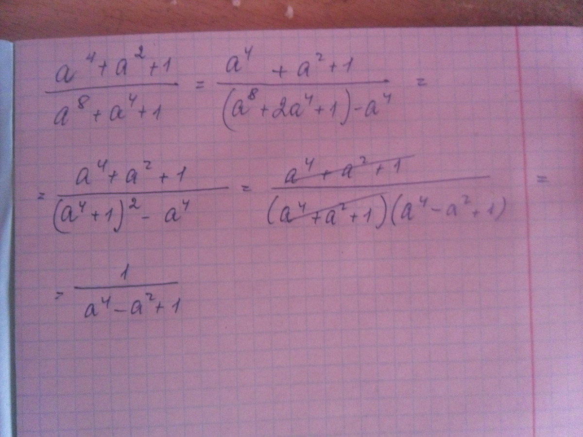
Сократить дробь: (a^4+a^2+1)/(a^8+a^4+1)

Ответы

Ответ дал: love67
0

вот таккккккк надо!!!!!!!

Приложения:
Вас заинтересует