• Предмет: Математика
  • Автор: kamila160
  • Вопрос задан 9 лет назад

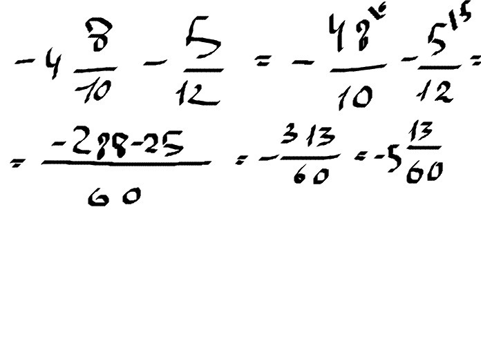
-4.125+(-5/12)=
помагите пж

Ответы

Ответ дал: iZarub
0
аааааааааааааааааааааааааааааааааааааааааааааааааааааааа                                                                                                                                                                 
Приложения:
Вас заинтересует