• Предмет: Геометрия
  • Автор: maryosipovakird
  • Вопрос задан 9 лет назад

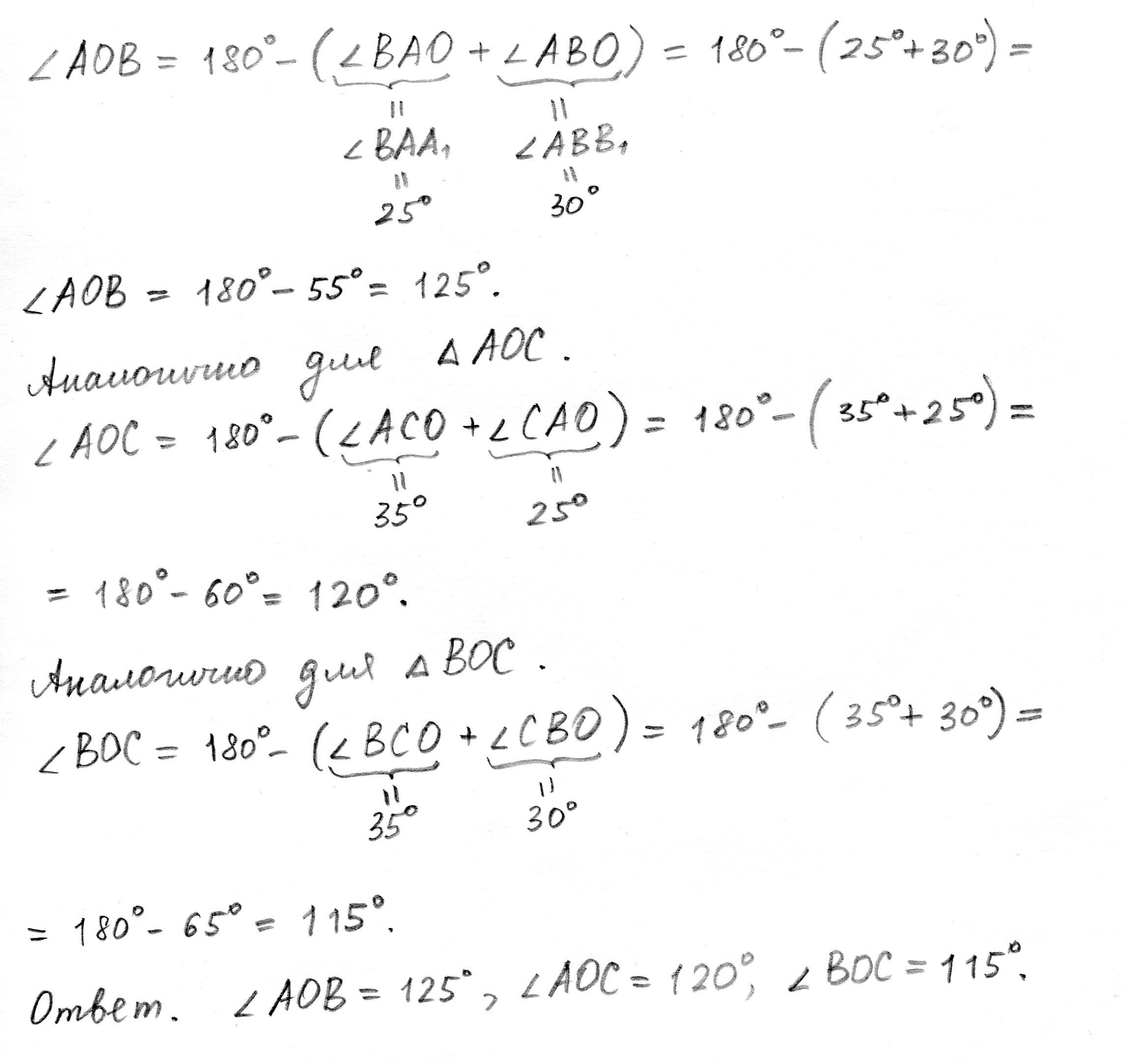
Биссектрисы АА₁ и ВВ₁ треугольника АВС пересекаются в пункте О.Найдите углы АОВ,АОС и ВОС,учитывая,что ∠А=50° и ∠В=60°

Ответы

Ответ дал: Аноним
0
На листочке решил я. Ниже прикрепил.
Приложения:
Вас заинтересует