• Предмет: Алгебра
  • Автор: Nadezhda765484
  • Вопрос задан 9 лет назад

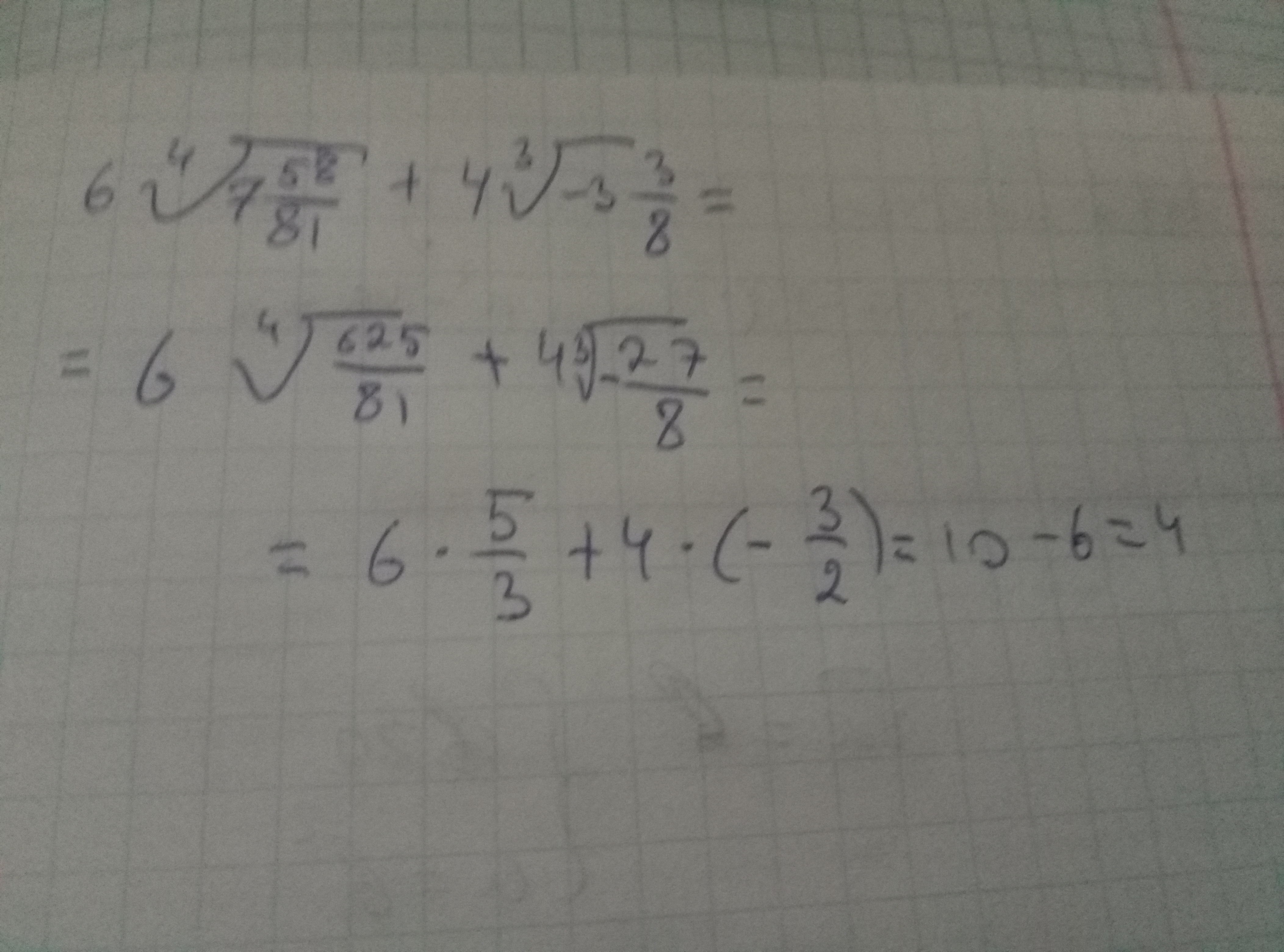
помогите пожалуйста найти значение выражения очень прошуу,9 класс

Приложения:

Ответы

Ответ дал: Topgoose
0
Вот, смотри прикрепленное фото
Приложения:
Ответ дал: ndiana18
0
6*(625/81)^1/4+4*(-27/8)^1/3= 6*5/3-4*3/2=10-6=4
Приложения:
Ответ дал: ndiana18
0
У меня точно также как у TopGoose
Вас заинтересует