• Предмет: Алгебра
  • Автор: misyurenko
  • Вопрос задан 9 лет назад

Помогите,пожалуйста!
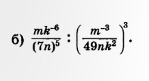
Выполните действия:

Приложения:

Ответы

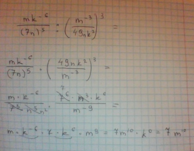
Ответ дал: Vailai
0
Решение на фотографии ниже с:
Приложения:
Вас заинтересует