• Предмет: Математика
  • Автор: smorodina11
  • Вопрос задан 9 лет назад

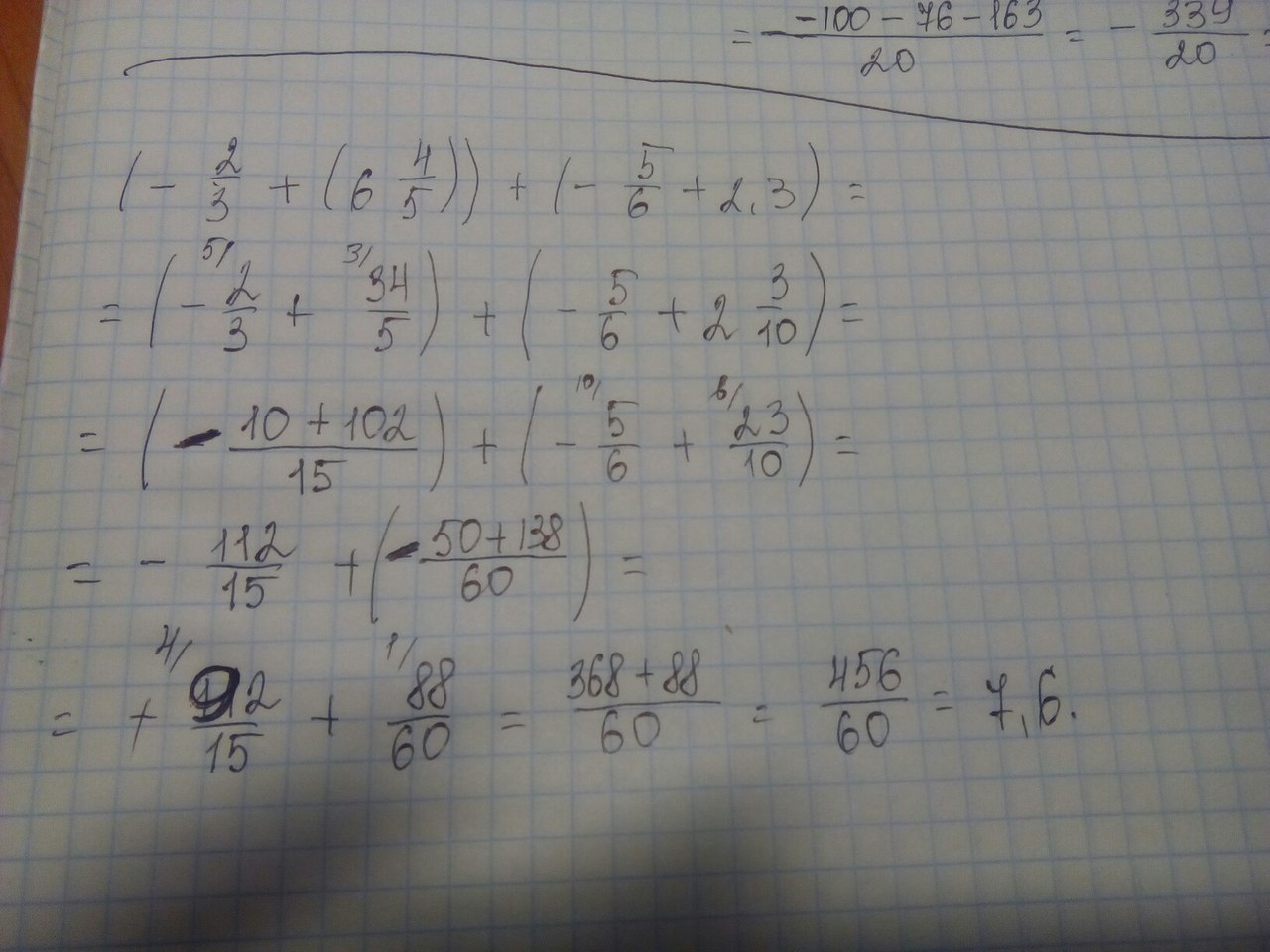
вычислите значение алгебраической суммы (-23+(+6целых 45))+ (-56+ 2.3))

Ответы

Ответ дал: acheremnyx98
0
Вот вам решение, должно быть так.
Приложения:
Ответ дал: Акмарааал
0
спасибо большое
Ответ дал: нурайбекжановк
0
спасиюочки
Вас заинтересует