Ответы
Ответ дал:
0
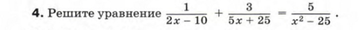
1/2(x-5)+3/5(x+5)=5/(x-5)(x+5)
ОЗ 10(x-5)(x+5)≠0⇒x≠5 U x≠-5
5x+25+6x-30=50
11x=50+5
11x=55
x=55:11
x=5 не удов усл
Ответ нет решения
ОЗ 10(x-5)(x+5)≠0⇒x≠5 U x≠-5
5x+25+6x-30=50
11x=50+5
11x=55
x=55:11
x=5 не удов усл
Ответ нет решения
Вас заинтересует
2 года назад
7 лет назад
7 лет назад
10 лет назад
10 лет назад