Ответы
Ответ дал:
0
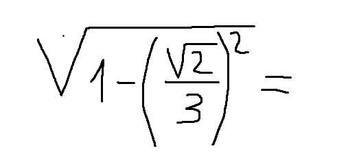
корень((1-кор из 2/ 3)(1+кор из2/ 3))=
*это мы сделали по формуле сокращ умножения а^2-в^2=(а-в)(а+в)*
=корень((1-2/3)(1+2/3))=
*здесь мы возвели корень из2 во 2 степень*
=корень(1/3 * 1 2/3)= корень(1/3* 5/3)=
корень (5/9)= корень из5/ 3
*это мы сделали по формуле сокращ умножения а^2-в^2=(а-в)(а+в)*
=корень((1-2/3)(1+2/3))=
*здесь мы возвели корень из2 во 2 степень*
=корень(1/3 * 1 2/3)= корень(1/3* 5/3)=
корень (5/9)= корень из5/ 3
Вас заинтересует
2 года назад
2 года назад
7 лет назад
10 лет назад
10 лет назад