• Предмет: Алгебра
  • Автор: DomnikaMaksimova
  • Вопрос задан 9 лет назад

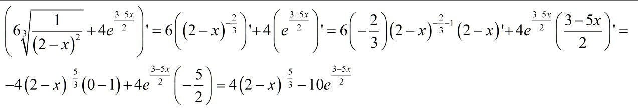
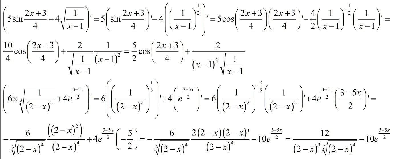
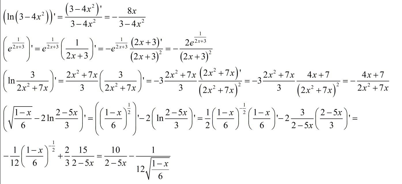
найти производную функции (подробно, с вычислениями)

Приложения:

Ответы

Ответ дал: Аноним
0
решение смотри во вложении
правильное решение последнего примера второго файла - на третьем файле
Приложения:
Вас заинтересует