Найдите наименьшее значение выражения (6x+5y-3)^2 + (2x+3y+3)^2 и значения x и y, при которых оно достигается. Я уже 3й час сижу... Не могу решить, помогите пожалуйста.
Ответы
Ответ дал:
0
Сумма двух неотрицательных величин(в данном случае — это
и
) не может быть отрицательной, т.е. всегда выполняется
и
. Соответственно, наименьшим значением выражения
будет ноль. Поэтому решаем уравнение
.

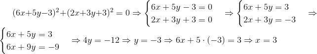
Сумма двух неотрицательных величин равна нулю тогда и только тогда, когда каждая из них равна нулю. Отсюда система уравнений:
см. приложение.
Ответ:
.
Сумма двух неотрицательных величин равна нулю тогда и только тогда, когда каждая из них равна нулю. Отсюда система уравнений:
см. приложение.
Ответ:
Приложения:

Вас заинтересует
2 года назад
2 года назад
7 лет назад
9 лет назад
9 лет назад
10 лет назад