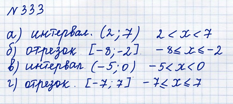
номер 333.
помогите пожалуйста,можно фотографией только в хорошем качестве
заранее спасибо
Приложения:

Ответы
Ответ дал:
0
Вот, держи, не за что) Все указал.
Приложения:

Ответ дал:
0
спасибо большое!
Вас заинтересует
2 года назад
2 года назад
7 лет назад
9 лет назад
9 лет назад
10 лет назад