• Предмет: Алгебра
  • Автор: antonina97
  • Вопрос задан 11 лет назад

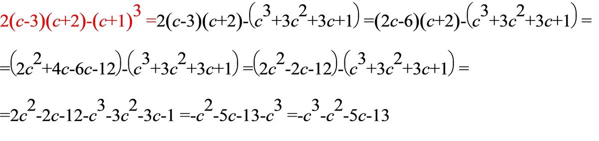
преобразуйте в многочлен выражение: 2(с-3)(с+2)-(с+1)^3 пожалуйста помогите решить, зараннее спасибо

Ответы

Ответ дал: Цунаде
0

файл

========================= 

Приложения:
Ответ дал: ConsuLX
0

2(c-3)(c+2)-(c+1)^3=2c^2-2c-12-(c+1)^3=2c^2-2c-12-(c^3+3c^2+3c+1)=2c^2-2c-12-c^3-3c^2-3c-1=-c^2-2c-12-c^3-3c-1=-c^2-5c-12-c^3-1=-c^3-c^2-5c-13

Приложения:
Вас заинтересует