• Предмет: Алгебра
  • Автор: ШKOJIbHUК
  • Вопрос задан 9 лет назад

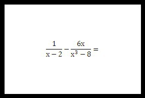
Кто запишет полное решение, получит 20 баллов (фото прилагается)
Заранее спасибо)

Приложения:

Ответы

Ответ дал: genriwhite
0
Если в задании требуется преобразовать выражение, то решение такое
Приложения:
Ответ дал: ШKOJIbHUК
0
Дружище спс ты мне очень помог!)
Вас заинтересует