Ответы
Ответ дал:
0
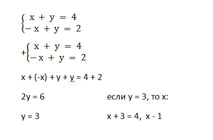
Ответ: х = 1, у = 3 ..................
Приложения:

Ответ дал:
0
вот ответ если не ошибаюсь то решение такое
Приложения:

Вас заинтересует
2 года назад
2 года назад
7 лет назад
9 лет назад
10 лет назад