Ответы
Ответ дал:
0
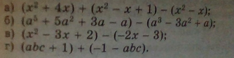
а) = х²+4х+х²-х+1-х²+х=х²+4х+1
б) = а³+5а²+3а-а-а³+3а²-а=8а²+а
в) = х²-3х+2+2х+3=х²-х+5
г) = авс+1-1-авс=0
б) = а³+5а²+3а-а-а³+3а²-а=8а²+а
в) = х²-3х+2+2х+3=х²-х+5
г) = авс+1-1-авс=0
Вас заинтересует
3 года назад
3 года назад
7 лет назад
10 лет назад
10 лет назад
10 лет назад
10 лет назад