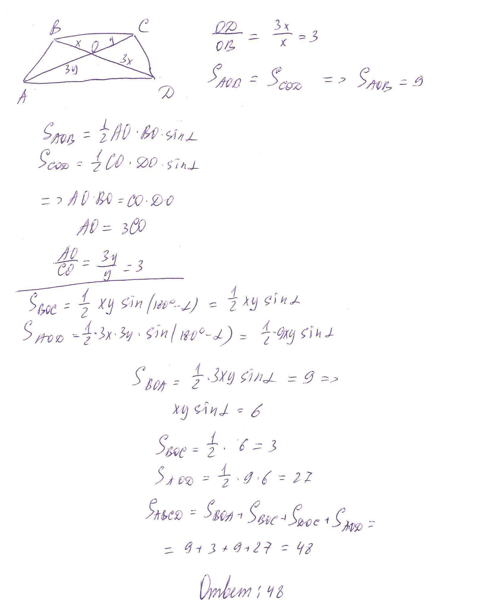
Диагонали AC и BD трапеции ABCD пересекаются в точке O.Вычислите площадь трапеции,если известно ,что OD:BO=3,а площадь треугольника OCD =9.
Ответы
Ответ дал:
0
Как то так, поставьте оценку
Приложения:

Вас заинтересует
2 года назад
2 года назад
7 лет назад
7 лет назад
9 лет назад
9 лет назад
10 лет назад
10 лет назад