Ответы
Ответ дал:
0
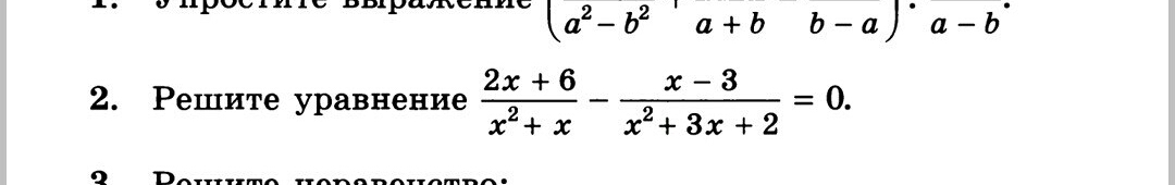
Умножим обе части уравнения на общий знаменатель ( чтобы от дробей освободиться)
знаменатель 1-й дроби = х(х +1)
знаменатель 2-й дроби = (х +2)(х +1)
общий знаменатель = х(х +2)(х +1) ≠ 0, х≠0, х ≠ -2, х ≠ -1
После умножения уравнение примет вид:
(2х +6)(х +2) -х(х-3) = 0
2х² +10х +12 -х² + 3х = 0
х² +13х +12 = 0
по т. Виета х = -1 и х = -12
Ответ: -12
знаменатель 1-й дроби = х(х +1)
знаменатель 2-й дроби = (х +2)(х +1)
общий знаменатель = х(х +2)(х +1) ≠ 0, х≠0, х ≠ -2, х ≠ -1
После умножения уравнение примет вид:
(2х +6)(х +2) -х(х-3) = 0
2х² +10х +12 -х² + 3х = 0
х² +13х +12 = 0
по т. Виета х = -1 и х = -12
Ответ: -12
Вас заинтересует
2 года назад
2 года назад
7 лет назад
10 лет назад
10 лет назад
10 лет назад