• Предмет: Алгебра
  • Автор: Plot2
  • Вопрос задан 9 лет назад

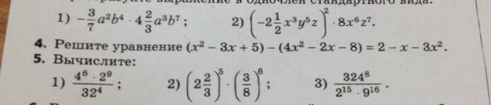
Номер 4 и 5, пожалуйста!!!!

Приложения:

Ответы

Ответ дал: amin07am
0
Ответ♡♤■♡♤■♡♤■♡♤■♡♤■♡♤■♡♤■♡♤■
Приложения:
Вас заинтересует