• Предмет: Алгебра
  • Автор: paszaBicepsVP
  • Вопрос задан 9 лет назад

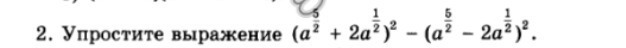
СРОЧНО ! Завтра кр сделайте задание на скрине

Приложения:

Ответы

Ответ дал: LeraVerber
0
=a^5+4a^3+4a-a^5+4a^3-4a=8a^3
Вас заинтересует