Помогите пожалуйста решить задачу -
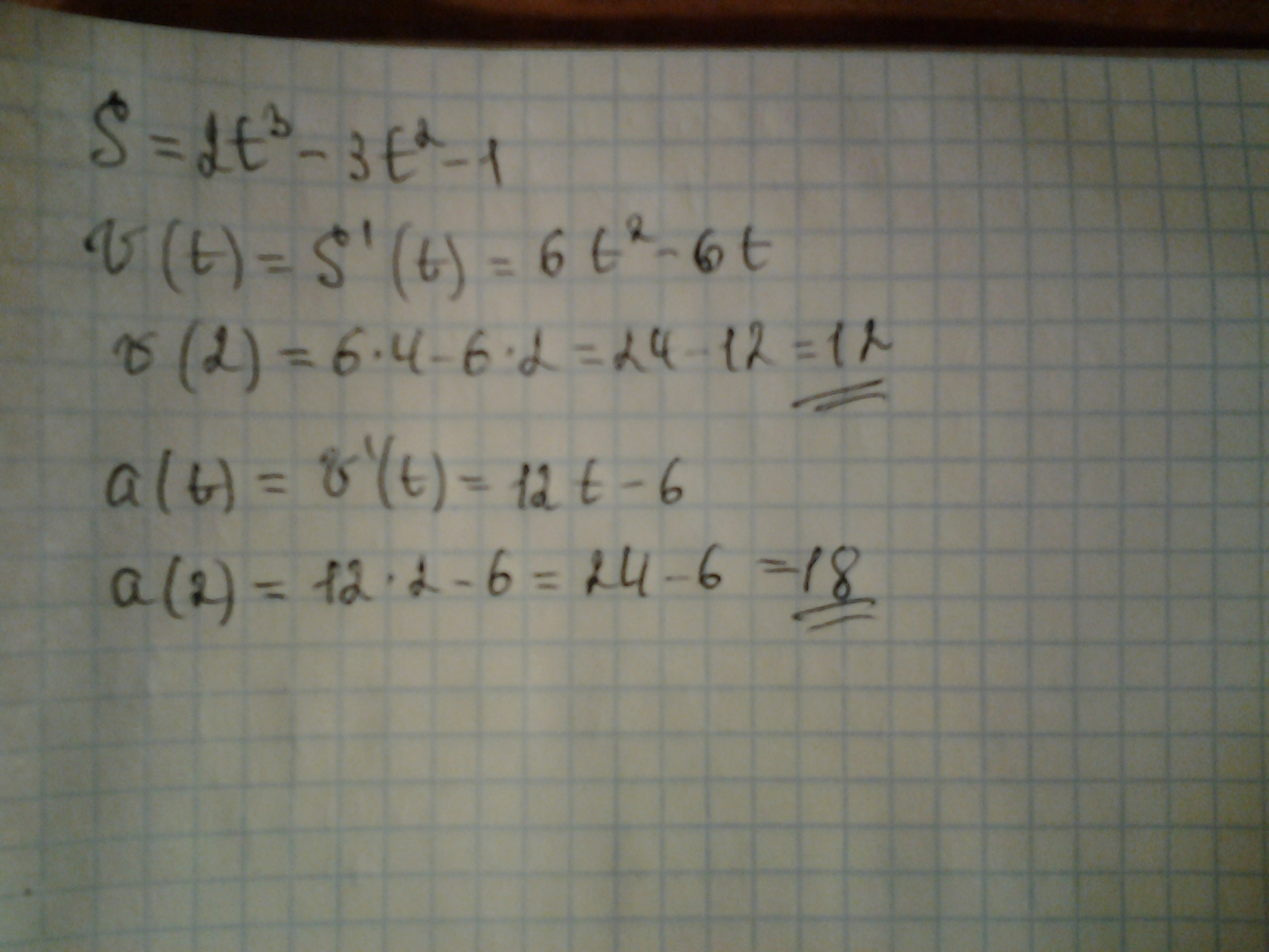
Материальная точка движется по закону S=2t³-3t²-1. Найти скорость и ускорение точки в момент времени t=2 секунды.
Ответы
Ответ дал:
0
Применены формулы дифференцирования
Приложения:

Вас заинтересует
2 года назад
2 года назад
7 лет назад
7 лет назад
9 лет назад
9 лет назад
10 лет назад