Ответы
Ответ дал:
0
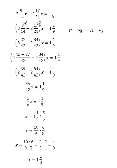
3 9/14х - 2 17/21х = 1 1/9
3 27/42х - 2 34/42х = 1 1/9
2 69/42х - 2 34/42х = 1 1/9
35/42х = 10/9
Х = 10/9 : 35/42
Х = 84/63
Х = 1 1/3
3 27/42х - 2 34/42х = 1 1/9
2 69/42х - 2 34/42х = 1 1/9
35/42х = 10/9
Х = 10/9 : 35/42
Х = 84/63
Х = 1 1/3
Ответ дал:
0
відповідь неправильна
Ответ дал:
0
Розв'язання рівняння дивіться на зображення
Приложения:

Ответ дал:
0
Да, у меня правильно. А у тебя нет. Ответы не одинаковые: у тебя 11/3 (одиннадцать третьих), что равно 3 целые и 2/3. А у меня 4/3 (четыре третьих), что ранвно 1 целая и 1/3.
Ответ дал:
0
Вообще то у меня ответ 1 целая 1/3 ( такой же у тебя ), но лучший ответ ты отбила своими комментами
Ответ дал:
0
А, так это 11/3?!! Хм... А мой ответ лучший из-за того, что все понятно написано. На то, чтобы сделать такое изображение надо больше времени, чем на то, чтобы просто текстом написать, как ты.
Вас заинтересует
2 года назад
7 лет назад
7 лет назад
9 лет назад
9 лет назад
10 лет назад