• Предмет: Алгебра
  • Автор: Natahaaaaaaaa
  • Вопрос задан 11 лет назад

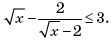
решите неравенство пожалуйста) 

Приложения:

Ответы

Ответ дал: artalex74
0

Выполним замену переменной t=sqrt x-2, тогда получим систему неравенств:

left { {{t+2-frac{2}{t}-3leq0} atop {t+2geq0}} right. 

left { {{frac{t^2-t-2}{t}leq0} atop {tgeq-2}} right. 

left { {{frac{(t+1)(t-2)}{t}leq0} atop {tgeq-2}} right.

     -        +            -         +

wwwwww|--------owwww|----->

         -1          0       2

--|wwwwwwwwwwwwwwwwwww>

-2

Получим совокупность неравенств:

-2leq t leq-1 или  0< t leq2 

-2leq sqrt x -2leq-1 или 0< sqrt x -2leq2 

0leq sqrt x leq1 или 2< sqrt x leq4 

0leq x leq1 или 4< x leq16

Ответ: [0; 1]U(4; 16].

Вас заинтересует