• Предмет: Математика
  • Автор: ого18
  • Вопрос задан 9 лет назад

решите пожалуйста срлчно

Приложения:

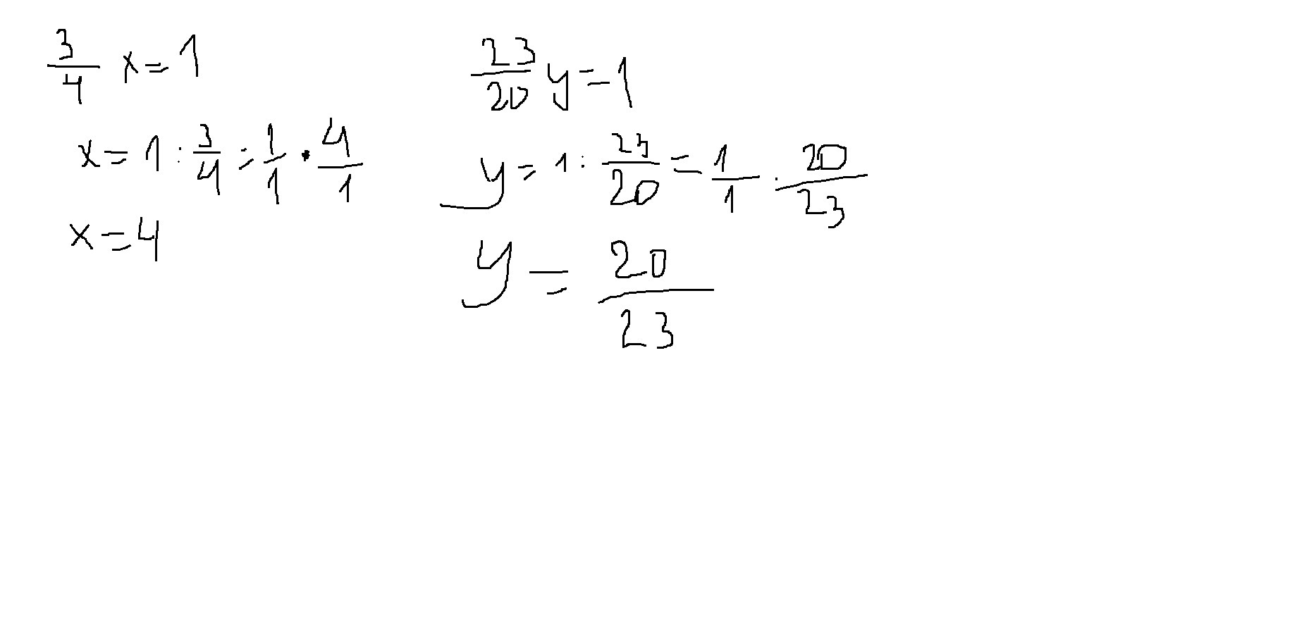
Ответы

Ответ дал: Сампера
0
........................
Приложения:
Вас заинтересует