Ответы
Ответ дал:
0
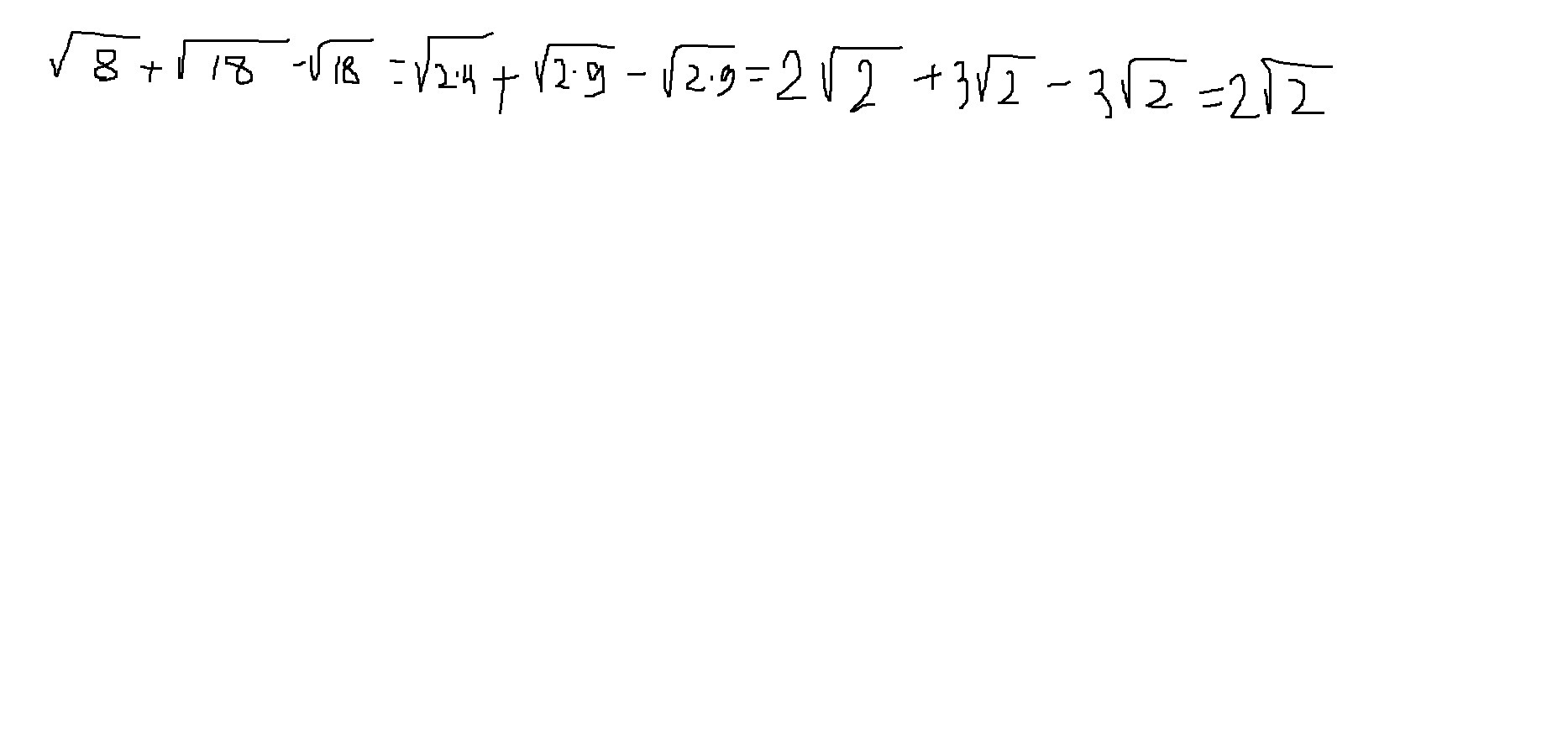
ну вот смотри. чтобы сложить корни, нужно чтобы они были одинаковыми, для этого по возможности нужно разложить корень на множители, желательно так, чтобы корень выносился сразу. из 9 можно вынести корень и из 4, будет 3 и 2. тогда остаются упрощенные выражения которые можно складывать или вычитать
Приложения:

Вас заинтересует
2 года назад
2 года назад
7 лет назад
9 лет назад
9 лет назад