Ответы
Ответ дал:
0
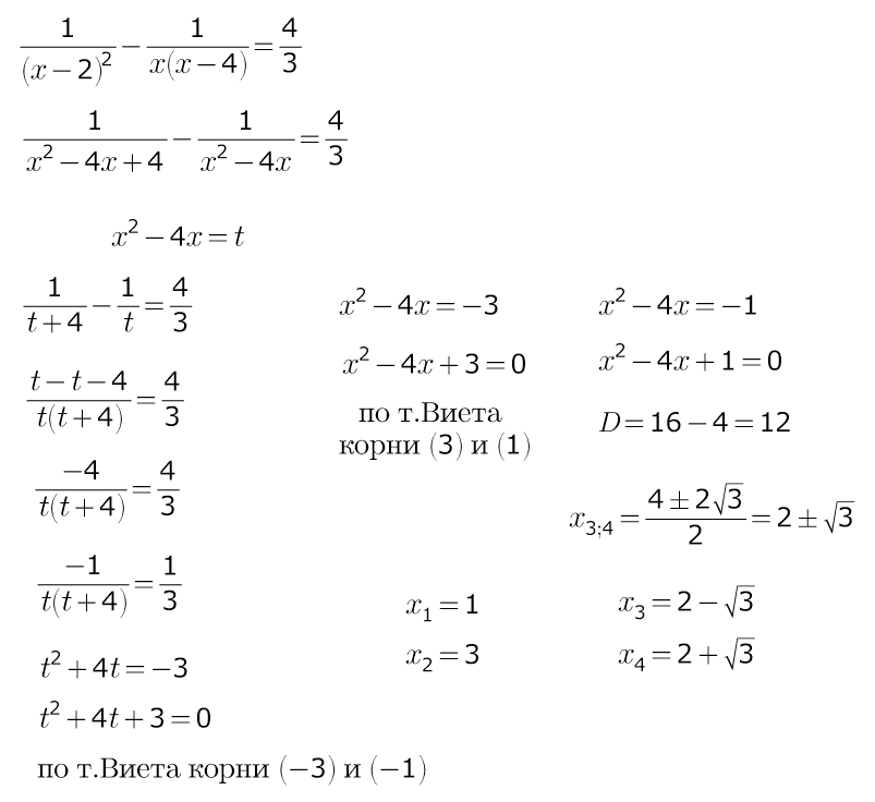
удобная замена поможет решить уравнение)))
Приложения:

Ответ дал:
0
Спасииибо
Вас заинтересует
2 года назад
2 года назад
7 лет назад
9 лет назад