• Предмет: Математика
  • Автор: WinThuster
  • Вопрос задан 9 лет назад

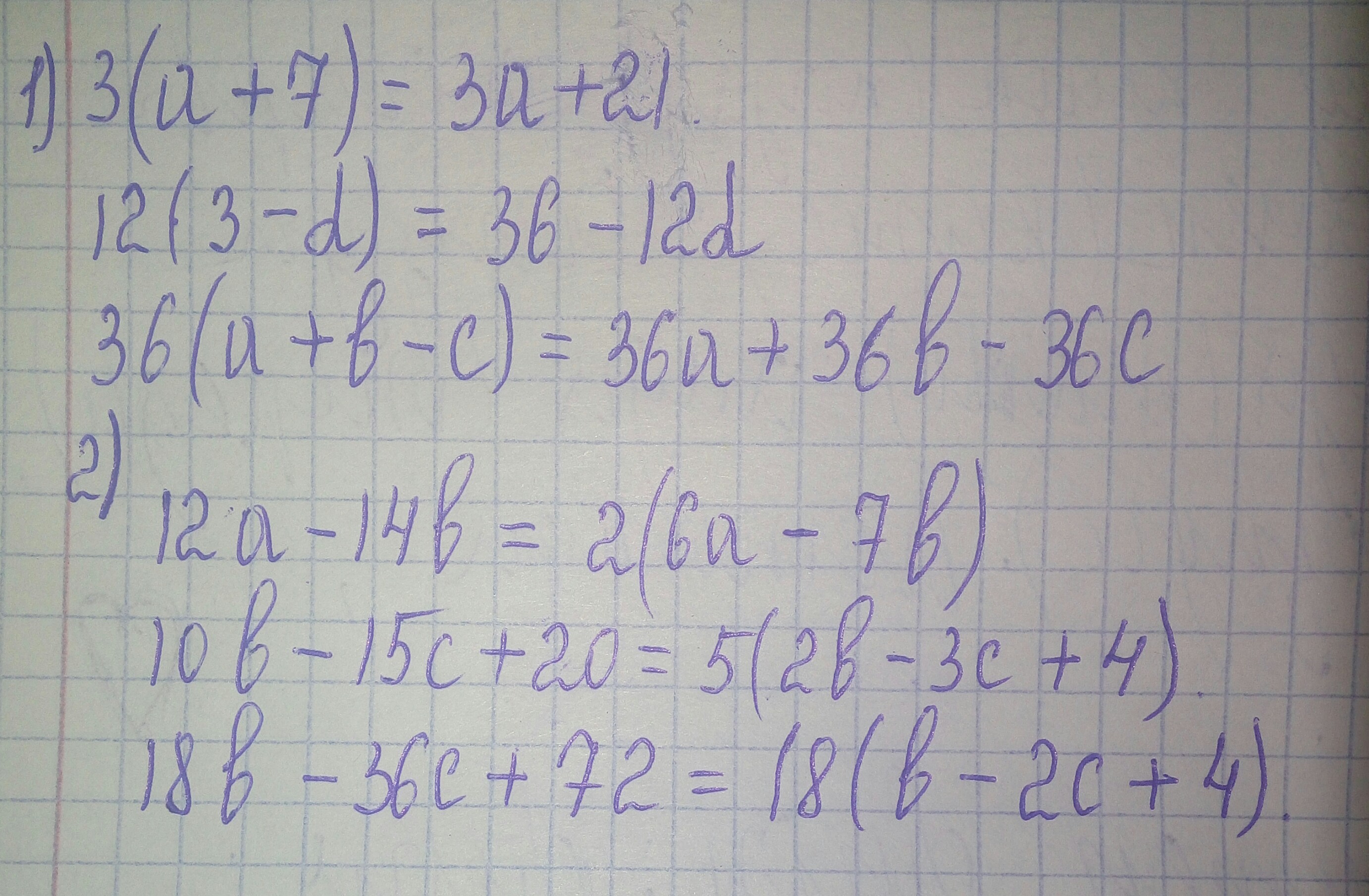
РАСКРЫТЬ СКОБКИ, ПРИМЕНЯЯ РАСПРЕДЕЛИТЕЛЬНОЕ СВОЙСТВО УМНОЖЕНИЯ:
3*(a+7); 12*(3-d); 36*(a+b-c);
вынести общий множитель за скобку:
12a-14b; 10b-15c+20; 18b-36c+72

Ответы

Ответ дал: Satkalieva
0
Вооооооооооооооооооооооот
Приложения:
Вас заинтересует