Два игрока, Петя и Ваня, играют в следующую игру. Перед игроками лежит куча из 10 камней. Игроки ходят по очереди, первый ход делает Петя. За один ход игрок может добавить в кучу три камня или увеличить количество камней в куче в два раза. У каждого игрока, чтобы делать ходы, есть неограниченное количество камней. Игра завершается в тот момент, когда количество камней в куче становится не менее 30. Победителем считается игрок, сделавший последний ход, то есть первым получивший кучу, в которой будет 30 или больше камней. Как должен ходить Петя чтобы выиграть? Как должен ходить Ваня чтобы выиграть? Нарисуйте дерево.
Ответы
Ответ дал:
0
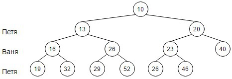
Дерево игры - в прилагаемом файле.
У игрока, делающего ход первым (Пети) есть выигрышная стратегия: первый ход должен быть +3 (в куче получится 13 камней). В этом случае при ходе второго игрока (Вани) +3 (в куче 16 камней) первый (Петя) выигрывает ходом *2 (в куче 32 камня); при ходе второго игрока (Вани) *2 (в куче 26 камней) первый (Петя) также выигрывает ходом *2 (в куче 52 камня).
Второй игрок (Ваня) может выиграть только в случае, если первый (Петя) сделает начальный ход *2 (в куче 20 камней), следующий ход (Вани) *2 (в куче 40 камней) приводит к выигрышу.
У игрока, делающего ход первым (Пети) есть выигрышная стратегия: первый ход должен быть +3 (в куче получится 13 камней). В этом случае при ходе второго игрока (Вани) +3 (в куче 16 камней) первый (Петя) выигрывает ходом *2 (в куче 32 камня); при ходе второго игрока (Вани) *2 (в куче 26 камней) первый (Петя) также выигрывает ходом *2 (в куче 52 камня).
Второй игрок (Ваня) может выиграть только в случае, если первый (Петя) сделает начальный ход *2 (в куче 20 камней), следующий ход (Вани) *2 (в куче 40 камней) приводит к выигрышу.
Приложения:

Вас заинтересует
2 года назад
2 года назад
7 лет назад
7 лет назад
9 лет назад
9 лет назад
10 лет назад