• Предмет: Математика
  • Автор: mxoroschilowa2
  • Вопрос задан 9 лет назад

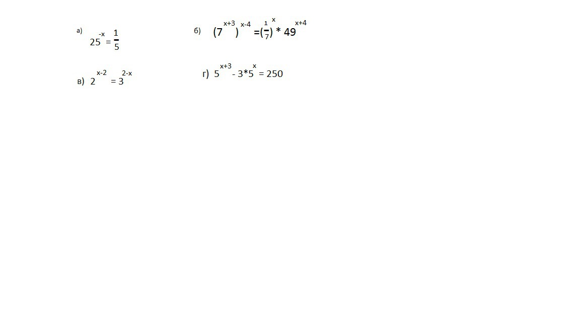
Решить показательные уравнения

Приложения:

Ответы

Ответ дал: NMAIE
0
https://itunes.apple.com/ru/app/myscript-calculator-kal-kulator/id578979413?mt=8 Это решение по математике
Вас заинтересует