Ответы
Ответ дал:
0
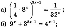
Ответ в приложении------------------------
Приложения:



Ответ дал:
0
спасибо!
Вас заинтересует
2 года назад
2 года назад
7 лет назад
7 лет назад
9 лет назад
9 лет назад
10 лет назад