Помогите срочно.Алгебра. Рац.Дроби 2 задания. Пожалуйста с решениями.30 баллов.(Пожалуйста с решениями,100% отмечу как лучшее решение и 5 звезд).
Приложения:

Ответы
Ответ дал:
0
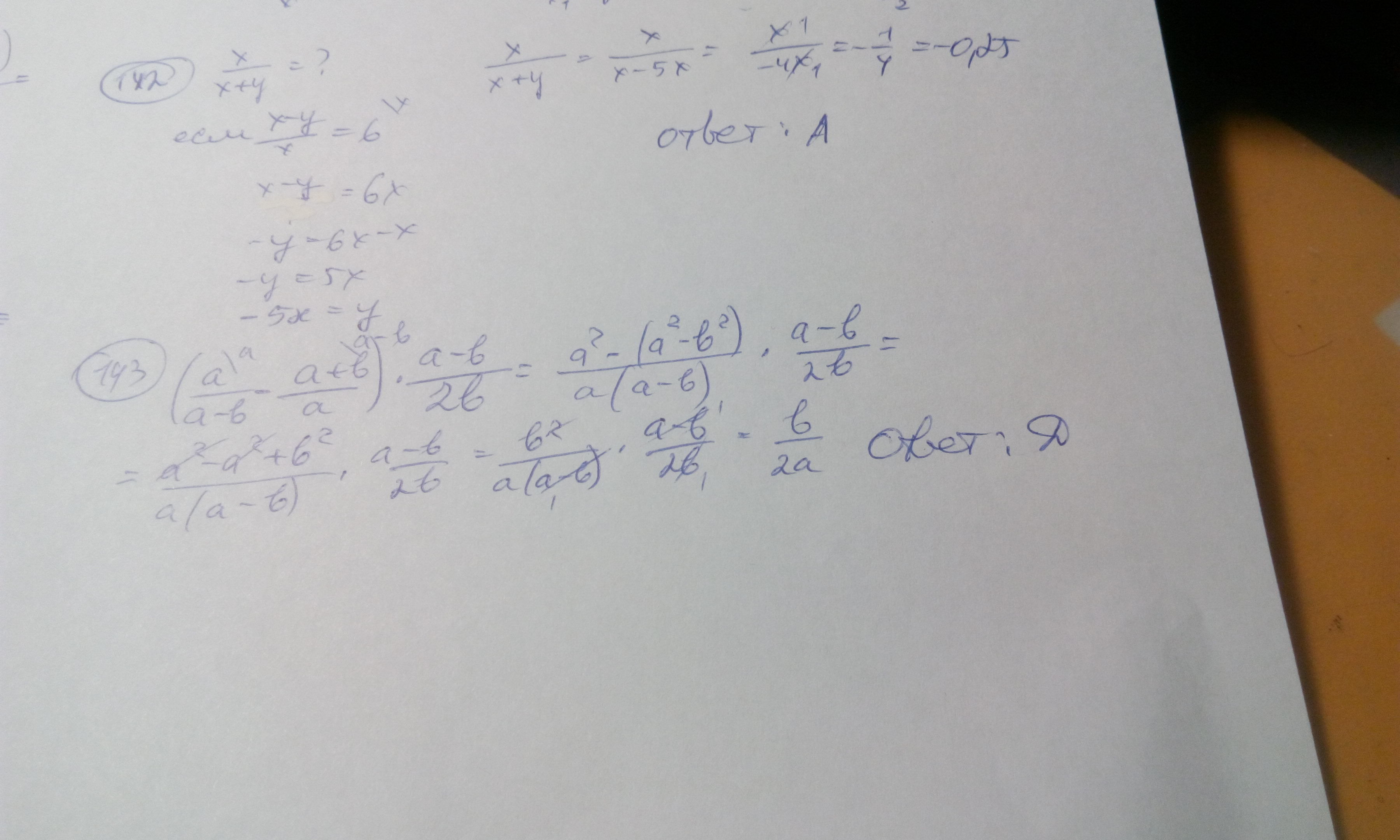
Решение дано на фото.
Приложения:

Вас заинтересует
2 года назад
2 года назад
7 лет назад
9 лет назад
9 лет назад
10 лет назад
10 лет назад