• Предмет: Алгебра
  • Автор: ArizonaStylinson
  • Вопрос задан 9 лет назад

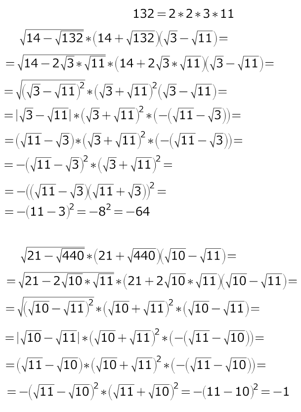
Помогите пожалуйста
(задание на фото)

Приложения:

Ответы

Ответ дал: LFP
0
под корнем можно выделить полный квадрат)))
и корень извлечется...
Приложения:
Вас заинтересует