• Предмет: Математика
  • Автор: Илья121422
  • Вопрос задан 9 лет назад

помогите пожалуйста
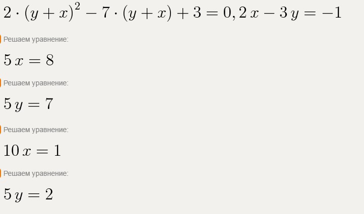
б){2(x+y)^2-7(x+y)+3=0
{2x-3y=-1

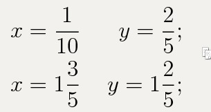
Приложения:

Ответы

Ответ дал: maksyachenkov
0
на  держи  мне тоже такое задали
Приложения:
Вас заинтересует