• Предмет: Алгебра
  • Автор: neznaika2tebe
  • Вопрос задан 9 лет назад

Докажите тождество, пожалуйста.

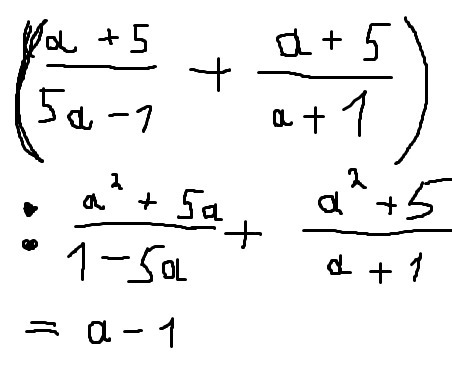
Приложения:

Ответы

Ответ дал: sedinalana
0
1)(a+5)/(5a-1)+(a+5)/(a+1)=(a+5)(a+1+5a-1)/(5a-1)(a+1)=6a(a+5)/(5a-1)(a+1)
2)6a(a+5)/(5a-1)(a+1) * (1-5a)/a(a+5)=-6/(a+1)
3)-6/(a+1)+(a²+5)/(a+1)=(-6+a²+5)/(a+1)=(a²-1)/(a+1)=(a-1)(a+1)/(a+1)=a-1
Ответ дал: StАся
0
Вот решение. Желаю удачи)
 (frac{a+5}{5a-1} +  frac{a+5}{a+1}) :  frac{ a^{2} + 5a }{1-5a} +  frac{ a^{2}+5 }{a+1} = a-1 \   frac{(a+5)(a+1) + (a+5)(5a-1)}{(5a-1)(a+1)} *  frac{1-5a}{a(a+5)} +  frac{ a^{2}+5 }{a+1} = a-1 \  frac{(a+5)((a+1)+(5a-1))}{(5a-1)(a+1)} *  frac{(1-5a)}{a(a+5)} +  frac{ a^{2}+5 }{a+1}  = a-1 \  - frac{a+1+5a-1}{a+1}* frac{1}{a}+  frac{ a^{2}+5}{a+1} = a-1 \  - frac{6}{a+1}+ frac{ a^{2}+5 }{a+1}=a-1 \  frac{ a^{2}-1}{a+1} =a-1 \   frac{(a-1)(a+1)}{(a+1)}=a-1 \ a-1=a-1
Вас заинтересует