• Предмет: Алгебра
  • Автор: yana06200272
  • Вопрос задан 9 лет назад

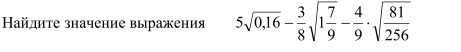
решите плес, срочно как нужно
выручайте))0000)))))

Приложения:

Ответы

Ответ дал: максимlike
0
5×0,4-1/8×4/3-4/9×9/12
Вас заинтересует