• Предмет: Алгебра
  • Автор: katy34240
  • Вопрос задан 9 лет назад

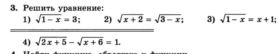
Уравнения, пожалуйста, помогите решить. Хоть сколько-нибудь

Приложения:

Ответы

Ответ дал: Sas1508991
0
1,2 и 3 в них обе части возводят в квадрат, дальше легко, а вот 4 я чет не помню, ссори
Вас заинтересует