• Предмет: Алгебра
  • Автор: Kensy
  • Вопрос задан 11 лет назад

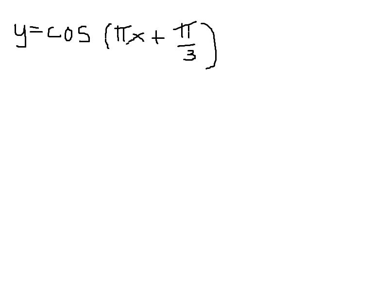
найдите период функции (ф-ция во вложении)

Приложения:

Ответы

Ответ дал: artalex74
0

Если угол х под знаком тригонометрической функции умножен на какое-либо число, то, чтобы найти период данной функции, надо разделить стандартный период функции cos на это число. Получим T=frac{T(cos)}{pi}=frac{2pi}{pi}=2

Вас заинтересует