• Предмет: Алгебра
  • Автор: HOCOK9000
  • Вопрос задан 9 лет назад

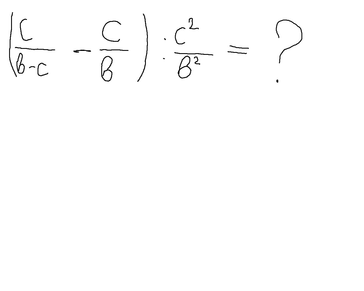
Вопрос приложил,написал его там) ПОЖАЛУЙСТА! ОЧЕНЬ СРОЧНО!

Приложения:

Ответы

Ответ дал: PollyDemchenko
0
b
_ Ответик. ......... ...
c
Ответ дал: HOCOK9000
0
Спасибо,но мне бы решение полноре
Ответ дал: HOCOK9000
0
Полное*
Вас заинтересует