Помогите Решить уравнения:
1)3tg 2x+корень из 3=0
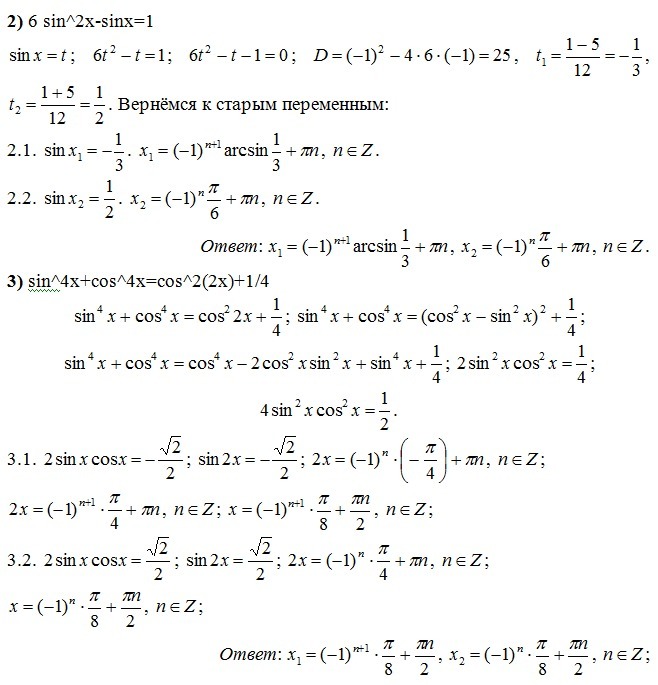
2)6 sin^2x-sinx=1
3)sin^4x+cos^4x=cos^2(2x)+1/4
Ответы
Ответ дал:
0
Решение в приложении.
Приложения:

Вас заинтересует
2 года назад
2 года назад
8 лет назад
10 лет назад
10 лет назад