• Предмет: Алгебра
  • Автор: АртемийКороль
  • Вопрос задан 9 лет назад

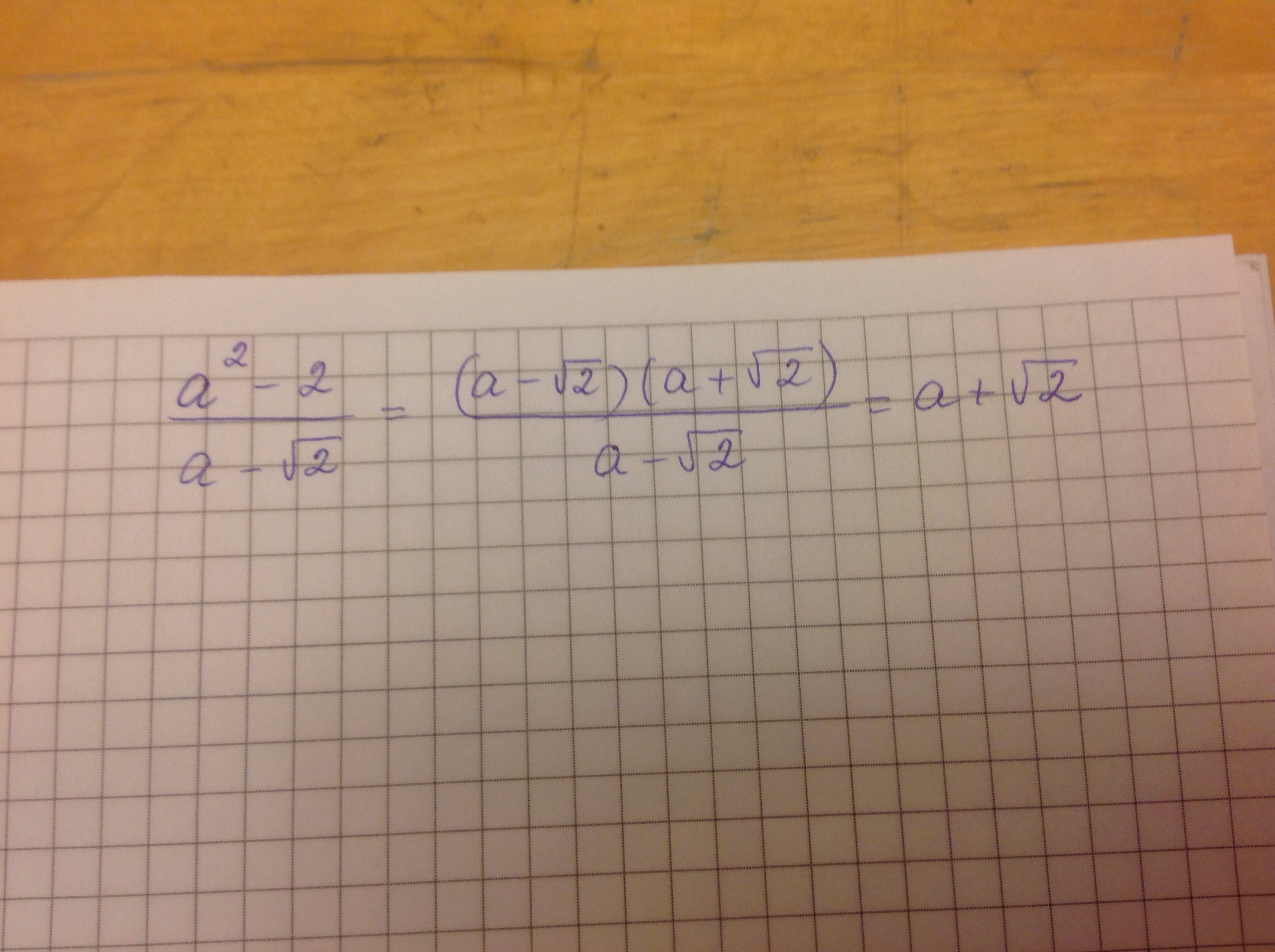
сократите дробь a^2-2/a-√2

Ответы

Ответ дал: ВладимирБ
0
Решение смотри в приложении
Приложения:
Вас заинтересует