• Предмет: Математика
  • Автор: TOFeFE
  • Вопрос задан 9 лет назад

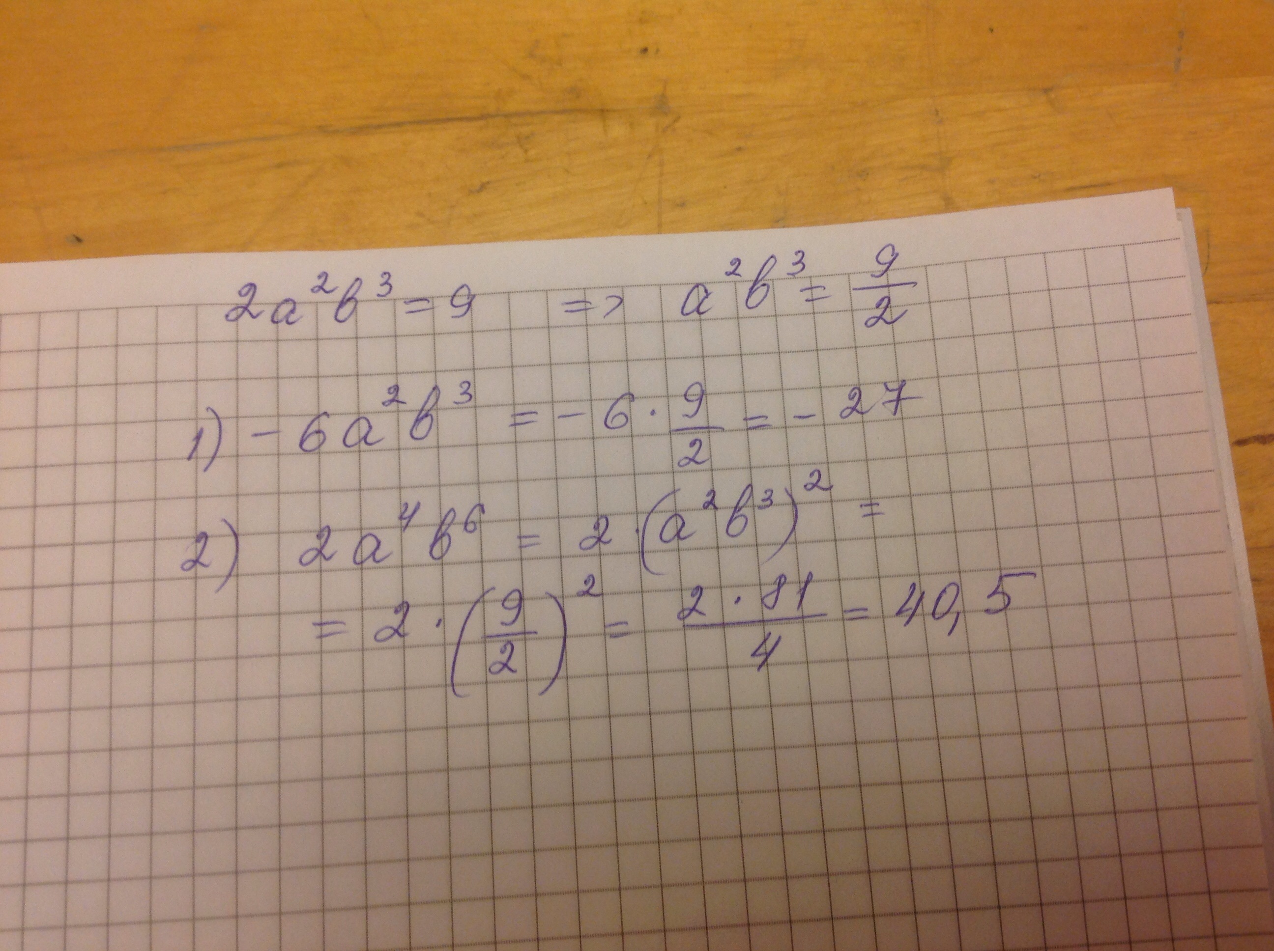
Известно, что 2*a^2*b^3=9 . Найдите значение выражения:
1) -6*a^2*b^3
2) 2*a^4*b^6

Ответы

Ответ дал: ВладимирБ
0
Решение смотри в приложении
Приложения:
Ответ дал: arsenlevadniy
0
-6*a^2*b^3 = -3*2*a^2*b^3 = -3*9 = -27
2*a^4*b^6 = 4*a^4*b^6:2 = 2^2*(a^2)^2*(b^3)^2:2 = (2*a^2*b^3)^2:2 = 9^2:2 = 81:2 = 40,5
Приложения:
Вас заинтересует