• Предмет: Математика
  • Автор: хорёк222
  • Вопрос задан 11 лет назад

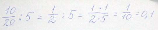
10/20 делим на 5.дробь сократить до конца

Ответы

Ответ дал: Shagron
0

10/20 =1/2= 0.5

0.5/5 = 0.1 = 1/10

Ответ дал: ПростоЛёка
0

Решение во вложении. С праздником!

Приложения:
Вас заинтересует