Геометрия подобные треугольники, 9 класс, задание прикреплено. Очень нужна ваша помощь, пожалуйста. Номера с 1 по 4. Пожалуйста. Вы моя последняя надежда
Приложения:

Ответы
Ответ дал:
0
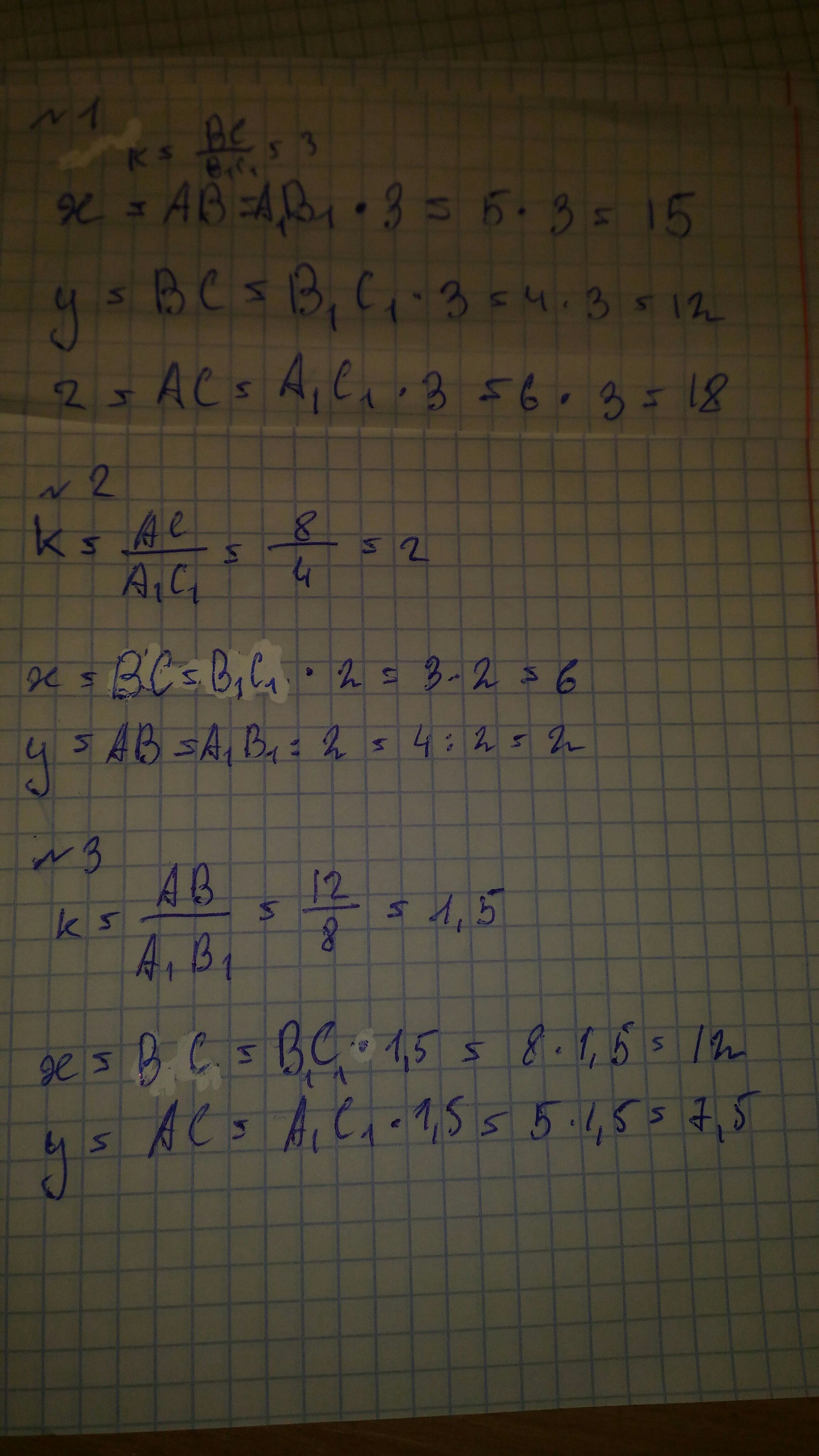
Вот так ! 3 сделал, уверен что все правильно, потому что по этой теме 5
Приложения:

Ответ дал:
0
Святой Вы человек, спасибо! Здоровья Вам побольше)
Вас заинтересует
7 лет назад
7 лет назад
9 лет назад
9 лет назад
10 лет назад