СРОЧНО! Решите уравнения
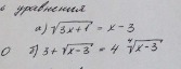
а) Корень из 3x+1 = x-3
б) 3+ корень из x-3 = 4 корень четвертой степени из x-3
Приложения:

Ответы
Ответ дал:
0
Если есть вопросы пишите
Приложения:

Вас заинтересует
2 года назад
9 лет назад
9 лет назад
10 лет назад