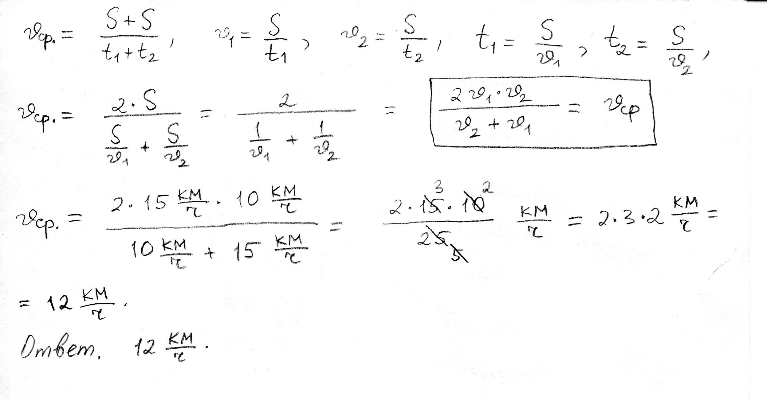
По течению реки теплоход двигался со скоростью 15 км в час, а против течения -со скоростью 10 км в час .С какой средней скоростью теплоход прошел весь путь туда и обратно, если расстояние между двумя пристанями равно 8 км?
Помогите пожаалуйста!!!! Нужно на завтра!!!
Ответы
Ответ дал:
0
===========================>>>>>>
Приложения:

Вас заинтересует
2 года назад
2 года назад
7 лет назад
7 лет назад
9 лет назад
9 лет назад
10 лет назад