• Предмет: Алгебра
  • Автор: annhappyann
  • Вопрос задан 11 лет назад

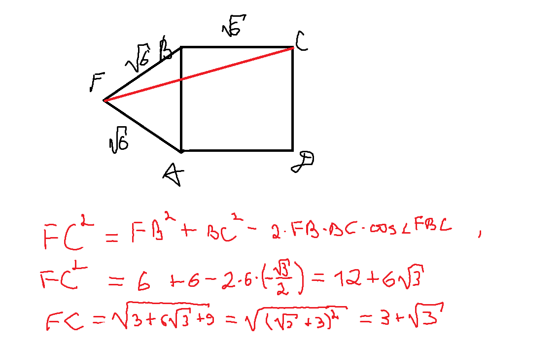
На стороне АВ квадрата АВСD построен правельный треугольник AFB(лежащий на плоскости квадрата), так что вершина F находится вне квадрата. Найдите длинну отрезка FC. Если сторона квадрата ABCD равна корню из 6.

Ответы

Ответ дал: nomathpls
0

1. Угол в правильном треугольника всегда 60 градусов. Смотрим на угол FBC. Он будет равен сумме прямого ABC=90 и острого FBA=60, то есть FBC=150 градусов.

2. По теореме косинусов находим неизвестную сторону в треугольнике FBC.

Ответ: 3+sqrt{3}

Приложения:
Вас заинтересует