Ответы
Ответ дал:
0
Решение смотри в приложении
Приложения:

Ответ дал:
0
спасибо! выручили
Ответ дал:
0
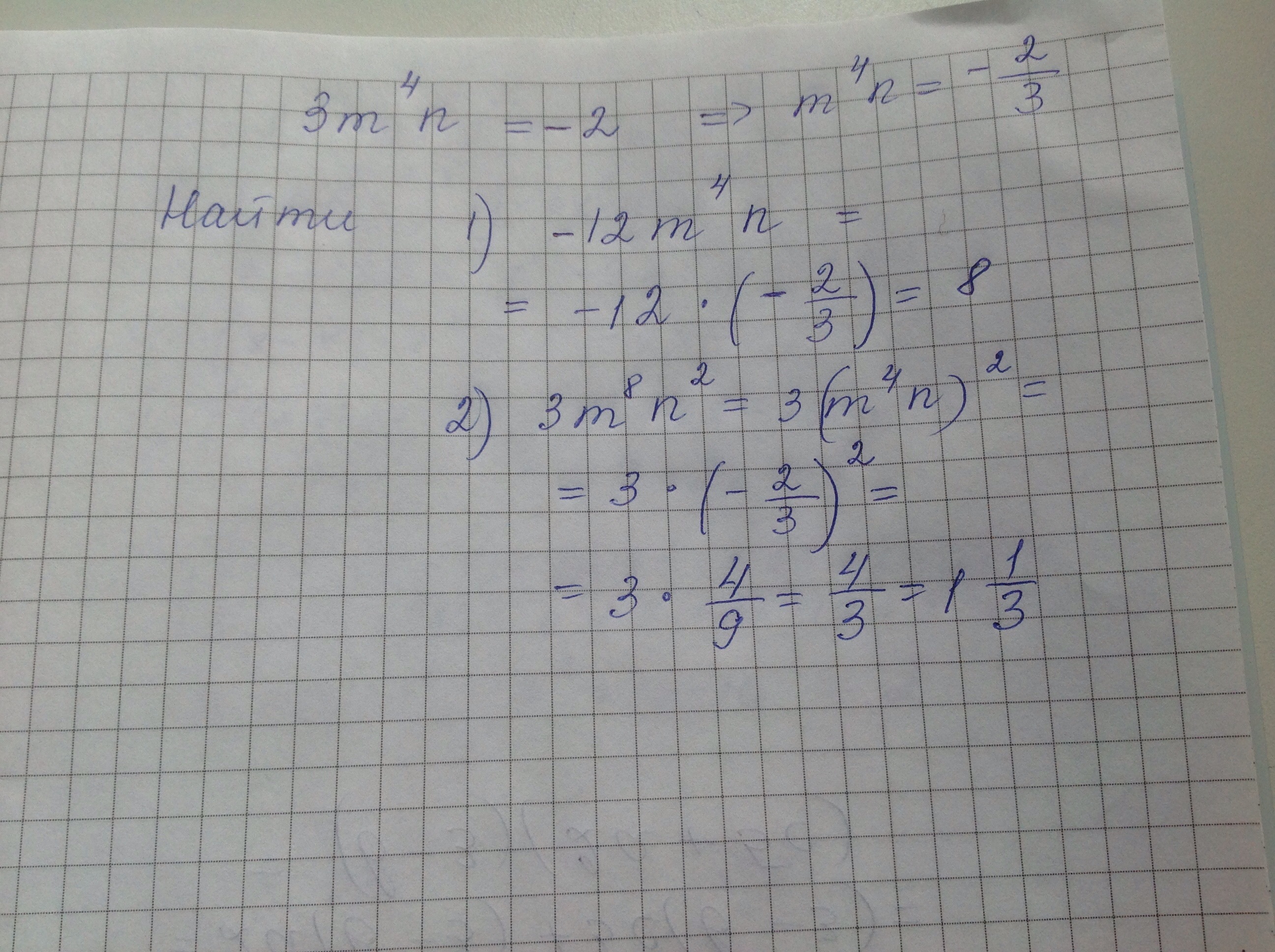
3m^4n=-2⇒m^4n=-2/3
1)-12m^4n=-12*(m^4n)=-12*(-2/3)=-8
2)3m^8n^2=3*(m^4n)²=3*(-2/3)²=3*4/9=4/3=1 1/3
1)-12m^4n=-12*(m^4n)=-12*(-2/3)=-8
2)3m^8n^2=3*(m^4n)²=3*(-2/3)²=3*4/9=4/3=1 1/3
Приложения:

Ответ дал:
0
спасибо!выручили!
Вас заинтересует
2 года назад
9 лет назад
9 лет назад
10 лет назад